À̰Š¿Ö¾ÈµÊ¤§¤§ [8] |
2021-04-14 00:27:39
¨Û Ãßõ
¨á ´ÜÃàURL
|
|
|
| https://humoruniv.com/pdswait8589946 URL º¹»ç |
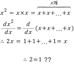
X^2=x+x+x+......x £¨x°³£© ¿¡¼ ¹®Á¦Àִ°Ͱ°Àºµ¥
¾Æ À̰žȵǴµ¥ ¿Ö¾ÈµÇÁö ¤§¤§¤§
10ºÐ° °í¹ÎÁß
µµ¿ÍÁà¿ä ¿ôÀÚÇà´Ô´ú!!