¸ñ·Ï
¿ô±äÀÚ·á
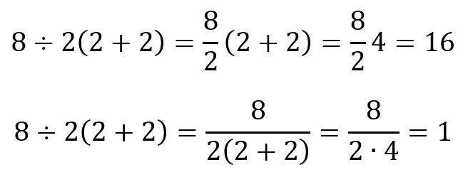
³í¶õÀÌ µÈ ±âÃÊ ¼öÇÐ ¹®Á¦.jpg
[61]
¡ã
¸Ç¹Ø
¡å
Å·¸¸µÕÀÌ
¾Æ¹ÙŸ/ÂÊÁö/±Û°Ë»ö
ÀÛ¼º 2019-11-26 12:58:02
À̵¿ 2019-11-26 19:38:08
474
0
61
46,184
¨Û Ãßõ
¨á ´ÜÃàURL
ÃßõµÇ¾ú½À´Ï´Ù.
¡è º¹»ç ÈÄ ºÙ¿©³ÖÀ¸¼¼¿ä.
±â±â¸¦ °¨ÁöÇÏ¿© ÃÖÀû URL ·Î º¸³»ÁÝ´Ï´Ù.
Å·¸¸µÕÀÌ
https://humoruniv.com/pds917152
URL º¹»ç
¿øº»
* Ãâó :
https://www.fmkorea.com/2418168050
¨Û °Ô ½Ã ¹° Ãß Ãµ ÇÏ ±â
·Î±×ÀÎ ¾øÀÌ Ãßõ°¡´ÉÇÕ´Ï´Ù.
ÃßõµÇ¾ú½À´Ï´Ù.
÷ºÎÆÄÀÏ ´Ù¿î·Îµå
´ä±Û º£½ºÆ®
(½ºÅ©¸°¼¦)
comm_best.png
001.jpg
¨Û Ãßõ
¨ä ¹Ý´ë
¨Þ ´ä±Û
¢Ç ¸ñ·Ï
ÃßõµÇ¾ú½À´Ï´Ù.
¡ç µÚ·Î
¡è ¸ÇÀ§
¡é ¸Ç¹Ø
¨· ½Å°í
¢½ ½ºÅ©·¦
½ºÅ©·¦ µÇ¾ú½À´Ï´Ù.
½ºÅ©·¦µÈ °Ô½Ã¹°ÀÔ´Ï´Ù.
½ºÅ©·¦¼³¸í:
½ºÅ©·¦¼³¸í:
¡ã ´ÙÀ½±Û
¿¡Å¸ÀÇ µ¶½É¼ú»ç.JPG
2019-11-26
¿©¿ìoÄÚÄÚ
461
0
7
33,975
¡å ÀÌÀü±Û
¿ª¼öÃâ ·¹Àüµå.JPG
2019-11-26
±èÀϼ¾û°³½ÃŰ
819
0
16
65,019
´ä±Û
º£½ºÆ®1
µ¹¾Æ¿Â±»°ÇÀÌ
2019-11-26 19:24:18
165
0
562°¡ ´äÀÔ´Ï´Ù. À°±ºÇö¿ª º¹¹«ÀÏÀ̱⵵ ÇÏÁö¿ä
[7]
À̵¿
̵̧
´ä±Û
Ãßõ¿Ï·á
¾î¹¬¸À»çÅÁ
2019-11-26
19:55:03
34
0
¿ô´ë ¿ª»ç»ó Á¦ÀÏ ¤¸°°Àº ÄÁ¼ÁÀÎµí¤»¤»¤» º¼¶§¸¶´Ù ¿ºÒÅÍÁ´
̵̧
Ãßõ¿Ï·á
´ä±Û
º£½ºÆ®
¿ôÀÚ
darkwprnr
2019-11-26 19:46:40
12
0
»ì¾Æ°¡¸é¼ ¾Æ¹«Â¦¿¡µµ ¾µ¸ð¾ø´Â ³íÀïÀÓ
[1]
À̵¿
̵̧
´ä±Û
Ãßõ¿Ï·á
[³ªÀÌŰ Á¤Ç°] ³ªÀÌŰ µ¥´Ô ¸ðÀÚ º¼Ä¸ ¿¬Ã» ÁøÃ» ÈæÃ» Ä¿Çà ½º¿ì½Ã
29,800¿ø
ÄíÆÎ Àαâ»óǰ
aHR0cHM6Ly9saW5rLmNvdXBhbmcuY29tL3JlL0FGRlNEUD9scHRhZz1BRjIwMjEyOTEmcGFnZUtleT05NDA5MTY1MTI2Jml0ZW1JZD0yNzk1NTk4MTE2NSZ2ZW5kb3JJdGVtSWQ9OTQ5MTQxMjE3NjkmdHJhY2VpZD1WMC0xMTMtNWZkZDM2YmNiZmE5YWUwNg==
/coupang/hu/center
»çÅÁ¸ÀÄ¿ÇÇ
2019-11-26
13:07:49
0
0
¹¹Áö 16 ¸Â´Âµ¥
̵̧
´ä±Û
½Å°í
Ãßõ¿Ï·á
loveofjune
2019-11-26
13:09:04
1
0
16¸ÂÁö¾Ê¾Æ?8¡À2¡¿4´Â 16¸ÂÀݾÆ?
̵̧
´ä±Û
½Å°í
Ãßõ¿Ï·á
½ÅÀÔ»ý¹ü»ýÀÌ
2019-11-26
13:55:23
12
0
ÀÌ·±°ÅÀÓ 8¡À2a = ? ¶û 8¡À2xa = ?
̵̧
½Å°í
Ãßõ¿Ï·á
½ÅÀÔ»ý¹ü»ýÀÌ
2019-11-26
13:56:05
1
0
a¿¡ 4¸¦ ³Ö¾îºÁ
̵̧
½Å°í
Ãßõ¿Ï·á
Á¾À̳ª¹«
2019-11-26
14:06:34
3
0
Àú±â °ýÈ£ºÎÅÍ °è»êÇØ¾ßÁö
̵̧
½Å°í
Ãßõ¿Ï·á
Ç«Âï½µ
2019-11-26
20:04:33
0
0
³Ö¾î? ±×°Ôµé¾î°¡???
̵̧
½Å°í
Ãßõ¿Ï·á
°ðÈÞ°¡¾øÀ½
2019-11-26
17:39:11
2
0
¾ÕºÎÅÍ ¸ÕÀúÇϴ°Ŷó 16¾Æ´Ô?
̵̧
´ä±Û
½Å°í
Ãßõ¿Ï·á
³í°õ
2019-11-26
17:54:57
0
0
¿ä¾à ¹®ÀÚ¿(xyz...µî)ÀÌ µé¾î°¥¶© ¡Àº¸´Ù ¡¿¸ÕÀú ÇÑ´Ù BUT ¹®ÀÚ¿ÀÌ ¾Èµé¾î°¡¸é ¡À,¡¿À» -,+ º¸´Ù ¸ÕÀúÇÏ°í ¡À°ú ¡¿°¡ ÀÖ´Ù¸é ¾Õ¿¡¼(ÁÂÃø)ºÎÅÍ µÚ·Î(¿ìÃø) À¸·Î °è»êÇϰí +, - ¿ª½Ã ¾Õ¿¡¼ ºÎÅÍ µÚ·Î °è»êÇÑ´Ù
̵̧
´ä±Û
½Å°í
Ãßõ¿Ï·á
Ãò¿ì¸³
2019-11-26
18:03:59
14
0
°ýÈ£ ¾ÈºÎÅÍ ÃÖ¿ì¼±À¸·Î °è»êÇÏ´Â °Å ¾Æ´Ï¾ú¾î? Çб³´Ù´Ò¶§ ±×·¸°Ô ¹è¿ü´Âµ¥
̵̧
´ä±Û
½Å°í
Ãßõ¿Ï·á
»èÁ¦µÈ ´ä±ÛÀÔ´Ï´Ù.
½Å´ø»ì½º°Ë½º
2019-11-26
18:55:37
1
0
8¡À2(2+2) 1.°ýÈ£¸ÕÀúǰ -> 8¡À2(4) / 2. 2(4)¸¦ °ö¼ÀÀ¸·Î ¹Ù²ãÁÜ -> 8¡À2¡¿4 / 3. ÀÌ·¸°ÔµÇ¸é Á¦ÀÏ ¿ÞÂʺÎÅÍ ¿ì¼± °è»êÇØ¾ßÇÏ´Ï 8¡À2 = 4, 4¡¿4 = 16 ±×·¡¼ ´äÀº 16¾Æ´Ô???
̵̧
´ä±Û
½Å°í
Ãßõ¿Ï·á
¾Æ´ÙÁ¦¿Õ
2019-11-26
18:58:32
0
0
³ª´©±â¸ÕÀúÇÏ°í ºÐ¹è¹ýÄ¢ ÇØ¼ 8+8=16
̵̧
´ä±Û
½Å°í
Ãßõ¿Ï·á
¼öÁ¤Âø»ó³ÇÒºÐÈ
2019-11-26
18:58:45
7
0
´ä 479³ª¿À´Âµ¥?
̵̧
´ä±Û
½Å°í
Ãßõ¿Ï·á
¹Ï´Â¸¶À½À̳ÊÀǸ¶¹ý
2019-11-26
19:38:29
0
0
³ªµµ
̵̧
½Å°í
Ãßõ¿Ï·á
0ü½ºÅÍ0
2019-11-26
19:41:39
0
0
³ªµµ
̵̧
½Å°í
Ãßõ¿Ï·á
¼öÁ¤Âø»ó³ÇÒºÐÈ
2019-11-26
20:32:14
23
0
µÎ³ð´Ù º´¿øÀ̳ª ÃʵîÇб³ °¡ºÁ¶ó
̵̧
½Å°í
Ãßõ¿Ï·á
´Þºû¾ßÈ
2019-11-27
08:41:39
0
0
´ëü ¹» ¾î¶»°Ô Çϸé 479°¡ ³ª¿À³Ä
̵̧
½Å°í
Ãßõ¿Ï·á
Á¤ÇиÔÀºÃ¼¾îÅ·
2019-11-26
18:58:48
2
0
Á¤±Ô±³À° °úÁ¤À¸·Î ½×¾Æ¿Ã¸° Áö½ÄÀÌ ¼ÛµÎ¸®Â° ºÎÁ¤´çÇÑ ±âºÐ..
̵̧
´ä±Û
½Å°í
Ãßõ¿Ï·á
¼øÁøÇÑôÇϴ´϶˲¿
2019-11-26
19:00:06
0
0
¿À ³ 1³ª¿Ô´Àµ ¤»¤»¤»¤»
̵̧
´ä±Û
½Å°í
Ãßõ¿Ï·á
lllolgolol
2019-11-26
19:00:22
3
0
±×´Ï±î ´À±× ¼öÇÐ ¤¸¹äµéÀÌ Çб³¿¡¼ Á¦´ë·Î ¹è¿î´ë·Î Çϸé 16ÀÌ°í ´ÌµéÀÌ ´ë¼öÇа°Àº°É ¾Ë¸®°¡ ¾øÀ¸´Ï±î 1À̶óÇÏ¸é Æ²·È´Ù ±×¸»Àεí
̵̧
´ä±Û
½Å°í
Ãßõ¿Ï·á
À¯¸®¸àÅ»À×¾î
2019-11-26
19:06:08
0
0
¾ÆÇÏ..
̵̧
´ä±Û
½Å°í
Ãßõ¿Ï·á
µ¹¿¬»çÀåÀÎ
2019-11-26
19:16:33
0
0
¹®Á¦¸¦ ½Ç»ýȰ¿¡ Àû¿ë½ÃŰÀÚ ÄÉÀÌÅ© 8Á¶°¢ÀÌÀִµ¥(8) 2ÆÀÀÌ ³ª´²°¡Áú¶ó±×·¡(¡À2) 1ÆÀ´ç ³²ÀÚ2¸í ¿©ÀÚ2¸íÀÌ·¡((2+2)) ±×·³ ÇÑ»ç¶÷´ç ÄÉÀÌÅ© ÇÑÁ¶°¢¾¿ °¡Á®°¡´Â°Ô ¸ÂÁö ±×·¯´Ï±î ´äÀÌ 1¾Æ´Ï¾ß??
̵̧
´ä±Û
½Å°í
Ãßõ¿Ï·á
µ¹¾Æ¿Â±»°ÇÀÌ
2019-11-26
19:24:18
165
0
562°¡ ´äÀÔ´Ï´Ù. À°±ºÇö¿ª º¹¹«ÀÏÀ̱⵵ ÇÏÁö¿ä
̵̧
´ä±Û
½Å°í
Ãßõ¿Ï·á
»èÁ¦µÈ ´ä±ÛÀÔ´Ï´Ù.
¾î¹¬¸À»çÅÁ
2019-11-26
19:55:03
34
0
¿ô´ë ¿ª»ç»ó Á¦ÀÏ ¤¸°°Àº ÄÁ¼ÁÀÎµí¤»¤»¤» º¼¶§¸¶´Ù ¿ºÒÅÍÁ´
̵̧
½Å°í
Ãßõ¿Ï·á
¾Ë·´À¯DiceKey
2019-11-26
20:08:16
3
0
ÈÄ.... ±»°ÇÀÌ ¶Ç ¼±³Ñ³×
̵̧
½Å°í
Ãßõ¿Ï·á
¼ÓŸ´ÂºÐ´ëÀå
2019-11-26
20:41:43
2
0
Á» ¾È ³ª°¡½Ê´Ï±î ÁøÂ¥? ºÐ´ë¾Öµé ºÒÆíÇØÇϴ°Š¾È º¸À̽ʴϱî?
̵̧
½Å°í
Ãßõ¿Ï·á
»èÁ¦µÈ ´ä±ÛÀÔ´Ï´Ù.
ÆÑÆ®À¯¹ßÀÚ
2019-11-26
21:14:38
23
0
.
̵̧
½Å°í
Ãßõ¿Ï·á
»èÁ¦µÈ ´ä±ÛÀÔ´Ï´Ù.
E±¸¿ªÀǹÌÄ£³â
2019-11-26
23:12:56
1
0
´ÚÄ¡ŽL¤»¤»¤»¤»¤»¤»¤»¤»
̵̧
½Å°í
Ãßõ¿Ï·á
º¹¼þ¾Æ¿ø¼þÀÌ
2019-11-26
23:14:37
1
0
´äÀº ¾ø³×¿ä. µ¹¾Æ¿Â ±»°ÇÀÌ´ÔÀÇ ³²Àº ±º»ýȰó·³
̵̧
½Å°í
Ãßõ¿Ï·á
À̻۸»¸¸Çϴ³ð
2019-11-26
23:42:29
3
0
ÀÔ´ë 2ÁÖ³²¾Ò´Âµ¥ ÁøÂ¥ °³½È´Ù ±»°ÇÀÌ ¾Ã·Ã Á¦¹ß µÚ ºÀ¸¸éÁÁ°Ù¾î »ç¶óÁ®Áà
̵̧
½Å°í
Ãßõ¿Ï·á
»èÁ¦µÈ ´ä±ÛÀÔ´Ï´Ù.
Çæ¶Ñ°¶ò
2019-11-26
19:26:11
1
0
ÁßÇб³ °íµîÇб³ ¶§ ¹è¿î °Íµé ½Ï´Ù ºÎÁ¤´çÇÏ´©...
̵̧
´ä±Û
½Å°í
Ãßõ¿Ï·á
¿ô´ë¼³¸íÃæ
2019-11-26
19:34:52
3
0
°ýÈ£¾È¿¡ Àִ°Š¸ÕÀú Ǫ´Â°Ç ´ç¿¬ÇÔ. ³íÁ¦´Â 8¡À2(4) À϶§ ³ª´°¼ÀÀ» ¸ÕÀúÇϴ°¡ ¾Æ´Ï¸é »ý·«µÈ °ö¼ÀÀ» ¸ÕÀúÇϴ°¡Àεí
̵̧
´ä±Û
½Å°í
Ãßõ¿Ï·á
¿ô´ë¼³¸íÃæ
2019-11-26
19:38:06
2
0
³ª´°¼ÀÀ» ¸ÕÀúÇÒ°æ¿ì 16ÀÌ°í °ö¼ÀÀ» ¸ÕÀúÇÒ°æ¿ì 1À̳ª¿È. ±Ùµ¥ ¾ÖÃÊ¿¡ ¹®Á¦¸¦ ÀÌ·¸°Ô ¾´°Ô À߸øÀ̶ó´Â °ÍÀÌ ÇаèÀÇ Á¤¼³
̵̧
½Å°í
Ãßõ¿Ï·á
2019-11-26
19:38:07
°Ô½Ã¹°ÀÌ 7½Ã°£ ¸¸¿¡ ¿ô±äÀÚ·á °Ô½ÃÆÇÀ¸·Î À̵¿µÇ¾ú½À´Ï´Ù!
- ÀÛ¼º: 2019-11-26 12:58 / À̵¿: 2019-11-26
19:38
- ¾î½Ã½ºÆ®: Çѹ濡º×´Ù°çÀ¸·Î
FreePree
2019-11-26
19:40:23
2
0
¿¨ ´ç¿¬È÷ 1À̶ó »ý°¢Çߴµ¥ ¤§¤§;
̵̧
´ä±Û
½Å°í
Ãßõ¿Ï·á
FreePree
2019-11-26
19:42:41
6
0
³ªÀ̽º! ¾î½Ã ½ºÆ¿!!! ÆÎ!!!
̵̧
½Å°í
Ãßõ¿Ï·á
ÁøÂ¥Àλý¹¹°°³×
2019-11-26
19:40:27
2
0
ÀÚ¿¬¼ö 2 µÚ¿¡ ¹Ù·Î °ýÈ£¸¦ ºÙÀÌ´Â°Ô °¡´ÉÇÔ?
̵̧
´ä±Û
½Å°í
Ãßõ¿Ï·á
³îµµ
2019-11-26
19:44:37
10
0
¾ÖÃÊ¿¡ ¾ÈÀú·²·Á°í ±ÔÄ¢ÀÌ Àִ°ǵ¥... ±ÔÄ¢À¸·Î ³ó´ãµû¸Ô±âÇÒ»ý°¢À̳ª ÇÏ°í ¤Ñ¤Ñ
̵̧
´ä±Û
½Å°í
Ãßõ¿Ï·á
´ëȸíÀ»¼³Á¤ÇØÁÖ¼¼¿ä
2019-11-26
19:46:36
0
0
°ýÈ£ ¸ÕÀú Ç®°í, ³ª´°¼À Ç®°í. ³ª´°¼ÀÀ¸·Î ³ª¿Â°ª¡¿°ýÈ£¾È¿¡ °ª=16
̵̧
´ä±Û
½Å°í
Ãßõ¿Ï·á
darkwprnr
2019-11-26
19:46:40
12
0
»ì¾Æ°¡¸é¼ ¾Æ¹«Â¦¿¡µµ ¾µ¸ð¾ø´Â ³íÀïÀÓ
̵̧
´ä±Û
½Å°í
Ãßõ¿Ï·á
¼öÁ¤Âø»ó³ÇÒºÐÈ
2019-11-26
20:32:32
0
0
ÄðÇϽó»¿ä ¤§¤§¤§¤§¤§¤§¤§
̵̧
½Å°í
Ãßõ¿Ï·á
ºñÄÑÀ̱¸¿ªÀǹÌÄ£³ðÀº
2019-11-26
19:47:22
4
0
°ýÈ£°¡ ¸ÕÀú°í ±×´ã¿¡ ¿ÞÂʺÎÅÍ °è»êÀÌ ±âº». °ÅÀÇ À¢¸¸ÇÑ °ø´ë¼öÁصµ ÀÌ·¸°Ô Á¤ÀÇÇÏÁö ¾Ê³ª? ¼öÇаú´Â ¸ð¸£°ÚÀ½
̵̧
´ä±Û
½Å°í
Ãßõ¿Ï·á
ºñÄÑÀ̱¸¿ªÀǹÌÄ£³ðÀº
2019-11-26
19:48:16
3
0
´ëÇмöÇÐ Àß »ý°¢Çغ¸¸é Ã¥¿¡ Àú·±½ÄÀ¸·Î µÅÀ־ ±³¼öµéÀº Ç×»ó ¿¬»êÀÚ¸¦ ºÙ¿©¼ Ç®¾úÀ½
̵̧
½Å°í
Ãßõ¿Ï·á
ÈÑÀÎe3
2019-11-26
22:55:48
1
0
¾ÖÃÊ¿¡ °ø´ë ¼öÁØ¿¡¼ ³ª´©±â ±âÈ£¸¦ ½áº»ÀûÀÌ ¾ø´Â°Å °°À½ ´Ù ºÐ¼ö·Î ¾²Áö
̵̧
½Å°í
Ãßõ¿Ï·á
Å«Èû°¡µæÇѰÔÀÌ
2019-11-26
19:47:30
3
0
8x1/2x4 ÀÌ·¸°Ô °è»êÇØµµ µÇ´Â°Å¾Æ´Ô?? ¾Æ´Ñ°¡
̵̧
´ä±Û
½Å°í
Ãßõ¿Ï·á
AnalyaZoom
2019-11-26
19:47:43
4
0
8/2(2+2)=1
̵̧
´ä±Û
½Å°í
Ãßõ¿Ï·á
Ä«´Ï´Ù
2019-11-26
20:04:59
5
0
¾ÖÃÊ¿¡ ¼ýÀÚ¿Í ¼ýÀÚ»çÀÌ¿¡´Â °öÇϱ⠿¬»ê±âÈ£°¡ »ý·«µÉ ¼ö ¾ø´Ù. °ýÈ£¾È¿¡ ¹®ÀÚ°¡ ¾Æ´Ñ ¼ýÀÚ°¡ Àֱ⿡ °ýÈ£¸¦ ¹¾î ¼ýÀÚ·Î »ý°¢ÇؾßÇÑ´Ù. °í·Î Àú ½ÄÀÌ À߸øµÈ°ÍÀÓ.
̵̧
´ä±Û
½Å°í
Ãßõ¿Ï·á
Ä«´Ï´Ù
2019-11-26
20:06:38
9
0
±»ÀÌ ÀÌ°É °è»êÇÑ´Ù¸é 16ÀÌ ¸Â°í ¸¸¾à x=2 , y=2 À϶§8¡À2(x+y)¶ó°í ¹®Á¦°¡ ÀÖ´Ù¸é ÀÌ°Ç 1ÀÌ ¸ÂÀ½.
̵̧
½Å°í
Ãßõ¿Ï·á
¼öÁ¤Âø»ó³ÇÒºÐÈ
2019-11-26
20:33:40
0
0
±×·¡¼ ³ª´°¼À±âÈ£¸¦ °öÇϱâ·Î ġȯ½ÃÄѼ Ǫ´Â°ÅÀÓ ¤·¤· ±×·¡¾ß ºÐ¹è¹ýÄ¢µµ µü Àû¿ëµÇ°í ¾Ïư°³²Ü ¤»
̵̧
´ä±Û
½Å°í
Ãßõ¿Ï·á
À¸³Ä³É
2019-11-26
20:56:58
2
0
¿ÀÀ× ¹«Á¶°Ç °ýÈ£ºÎÅ;ƳÄ?
̵̧
´ä±Û
½Å°í
Ãßõ¿Ï·á
zramid
2019-11-26
21:12:51
0
0
°íµî±³À° ¸¶Ä£ Çѱ¹ÀÎÀº ³í¶õ ÀÚü°¡ ¾ÈµÉ°Å °°Àºµ¥?
̵̧
´ä±Û
½Å°í
Ãßõ¿Ï·á
Ãß¾ïÀº
2019-11-26
21:37:39
0
0
±×·¡¼ Àú ¿¬»êÀ» ÀÀ¿ëÇØ¼ ½Ç»ýȰ ¾î¶² ºÎºÐ¿¡¼ »ç¿ëÇÒ ¼ö ÀÖÀ½? ¶¥±æÀÌ Àê¶§? »ç°ú Á¶°¢À¸·Î ³ª´²¼ ¹èºÐÇÒ ¶§?
̵̧
´ä±Û
½Å°í
Ãßõ¿Ï·á
³ª³¯»ìÀÌ
2019-11-26
21:38:23
0
0
¾î ¹¹¾ß ³» Áö½ÄÀÌ Æ²¸°°Å¾ß?? ³ª´©±âº¸´Ù °öÇϱ⸦ ¸ÕÀúÇÏ´Â ½ÄÀ¸·Î ¹è¿ü´Âµ¥.? 1. °ýÈ£¾ÈÀÇ (2+2) ¸ÕÀú °è»ê ÈÄ 2. 8³ª´©±â2(4) °¡ µÇ´Ñ±î 2(4)¸ÕÀú °è»ê 8 3. 8³ª´©±â8=1 À̰Š¾Æ³à..?
̵̧
´ä±Û
½Å°í
Ãßõ¿Ï·á
Àú½Â»çÀÚ°í³ÉÀÌ
2019-11-26
23:45:53
0
0
°ýÈ£ ¾ÈÀ» ¸ÕÀú °è»êÇϴ°ÅÁö °ýÈ£ ¾È °è»ê ³¡³ª¸é °ýÈ£´Â »ç¶óÁö°ÔµÇÁÒ. Àú ¹®Á¦°¡ °á±¹ °öÇϱ⠱âÈ£°¡ ¾ø¾î¼ ÇÞ±ò¸®°Ô ¸¸µé¾îÁø°Çµ¥ °öÇϱⰡ ÀÖ´Ù¸é 8 ³ª´©±â 2 °öÇϱâ A, A=2+2=4À̹ǷΠ8 ³ª´©±â 2 °öÇϱâ 4 Áï, 8x1/2x4=16ÀÌ µÇÁÒ. ¸¸¾à °öÇϱ⸦ »ý·«ÇϰԵǸé ÇÞ±ò¸®°Ô µÇ´Â ºÎºÐÀÌ 8³ª´©±âB, B=2(2+2)=8·Î 1À̶ó´Â °á°ú°¡ ³ª¿Ã ¼öµµ Àִ°ſ¹¿ä. ±×·¡¼ ¼ýÀÚ¸¸ ÀÖÀ» ¶© ¿¬»ê±âÈ£¸¦ Àß ºÙÇôÁÖ´Â°Ô ÁÁ¾Æ¿ä.
̵̧
½Å°í
Ãßõ¿Ï·á
Â˵æÂ˵æÂý½Ò¶±
2019-11-26
22:09:54
2
0
°ö»ùÀº »ý·«ÇßÀ¸¸é¼ ¿Ö ³ª´°¼ÀÀº ºÐ¼ö·Î »ý·«¾ÈÇÔ?
̵̧
´ä±Û
½Å°í
Ãßõ¿Ï·á
ġŲÀº¿ª½Ãbbc
2019-11-26
23:20:26
0
0
³ ³ª´©±â¶û °öÇϱâ´Â µ¿±ÞÀÌ°í °ýÈ£¾ÈºÎÅÍ ¹Ù±ùÀ¸·Î ¶ó°í ¹è¿ü´Âµ¥
̵̧
´ä±Û
½Å°í
Ãßõ¿Ï·á
½¬¹Ù³ª¿À¸®¾Æ³ª
2019-11-26
23:24:35
1
0
Àú·± È¥¶õÀ» ÇÇÇϱâ À§ÇØ ºÐ¼ö¸¦ ¾²´Â°ÅÁö
̵̧
´ä±Û
½Å°í
Ãßõ¿Ï·á
ºñ´©µþ
2019-11-27
02:13:34
0
0
¸Â¾Æ ºÐ¼ö ¾²¸é ¸íÈ®Çϰŵç
̵̧
½Å°í
Ãßõ¿Ï·á
ºñ´©µþ
2019-11-27
02:19:26
3
0
ÀÌ ¹®Á¦´Â ¿ä¾àÇÏÀÚ¸é ÀÌ·±°ÅÀÓ. (2+2)°¡ ºÐ¸ð·Î µé¾î°¡´À³Ä ºÐÀÚ·Î µé¾î°¡´À³Ä. ±Ùµ¥ ÀϹÝÀûÀ¸·Î ¿ì¸®´Â ÀÌ·± ½ÄÀ» ºÐ¼ö·Î °íÄ¥¶§ À§¿¡Ã³·³ °íÄ¡Áö ¾Æ·¡Ã³·³ °íÄ¡Áö´Â ¾ÊÀݾÆ?
̵̧
´ä±Û
½Å°í
Ãßõ¿Ï·á
À̱۸®ºò½º
2019-11-27
11:10:45
0
0
¹Ì¼öÇÐ Çùȸ´Â ±×°ÅÁÒ 8 / 2(2+2) -> °ö¼À»ý·«Àº 8/ (2*(2+2)) À̹ǷΠ´äÀº 1
̵̧
´ä±Û
½Å°í
Ãßõ¿Ï·á
Á¦ÆäÆ®
2019-11-27
11:28:45
0
0
³ ¹è¿î°Ç °ýÈ£ºÎÅÍ·Î ¹è¿ü´Âµ¥ ÄÄÇ»ÅÍ·Î ¹®Á¦³ÖÀ¸¸é ¼ø¼´ë·Î Ç®¾î¹ö¸®´õ¶ó
̵̧
´ä±Û
½Å°í
Ãßõ¿Ï·á
Èåµå·¯Áö°Ô
2019-11-27
19:40:28
0
0
±×·±µ¥ °è»ê ±âÈ£°¡ »ý·«µÈ°Å ÀÚü°¡ ´ë¼öÇÐÀ¸·Î ºÁ¾ßÇϴ°Š¾Æ´Ô.... ±âº»±ÔÄ¢·êÀ̶ó¸é X¸¦ »ý·«ÇÏ¸é ¾ÊµÇÁö...
̵̧
´ä±Û
½Å°í
Ãßõ¿Ï·á
ÀÍ»ê½Ãû
2019-12-04
12:01:55
0
0
1¾Æ´Ô?
̵̧
´ä±Û
½Å°í
Ãßõ¿Ï·á
¨Û Ãßõ
¨ä ¹Ý´ë
¨Þ ´ä±Û
¢Ç ¸ñ·Ï
ÃßõµÇ¾ú½À´Ï´Ù.
¡ç µÚ·Î
¡è ¸ÇÀ§
¡é ¸Ç¹Ø
¨· ½Å°í
¢½ ½ºÅ©·¦
½ºÅ©·¦ µÇ¾ú½À´Ï´Ù.
½ºÅ©·¦µÈ °Ô½Ã¹°ÀÔ´Ï´Ù.
½ºÅ©·¦¼³¸í:
½ºÅ©·¦¼³¸í:
¡ã ´ÙÀ½±Û
¿¡Å¸ÀÇ µ¶½É¼ú»ç.JPG
2019-11-26
¿©¿ìoÄÚÄÚ
461
0
7
33,975
¡å ÀÌÀü±Û
¿ª¼öÃâ ·¹Àüµå.JPG
2019-11-26
±èÀϼ¾û°³½ÃŰ
819
0
16
65,019
´ä±Û ÀÛ¼ºÇϱâ (·Î±×ÀÎ ÇÊ¿ä)
·Î±×ÀÎ
¸ÞÀÎ
»çÀÌÆ®¸Ê
PCȸé